从新加坡毕业也能无缝衔接去澳洲八大读本科?升学秘籍请收好
享有澳洲顶级声誉的澳洲八大名校——澳洲国立大学、雪梨大学、墨尔本大学、昆士兰大学 、新南威尔士大学、莫纳什大学、西澳大学、阿德莱德大学,简称“八大”,顶著名校的光坏,成为了不少同学向往的Dream School。“八大”凭著其一流的师资力量和良好的校园环境,成为了澳洲的“常春藤联盟”。

西澳大学,TheUniversity of Western Australia,简称UWA,作为澳大利亚常春藤名校联盟“八大名校”之一,创校于1911年,1913年首次招生,位于西澳大利亚的首府珀斯,在澳洲被归为6所砂岩学府(Sandstone Universities)之一,是西澳(WA)州首屈一指的大学,世界150强大学。

西澳大学自创校以来,一直是澳洲的最具历史、代表性和实力的顶尖研究型大学之一,在众多权威的澳洲大学排名中位列第六、第七位。西澳大学同时也是澳大利亚八所五星级大学之一。在2020QS世界大学排名中,西澳大学位列世界第86位。

可是很多同学不知道的是,入读新加坡PSB学院的工商管理大专课程,只要成绩符合要求(GPA3.0或以上),就可以获得西澳大学本科课程第一年的赦免,可直接从大二开始完成本科学业。
成功案例

朱畅同学来自北京,在完成国内高二课程并参加雅思考试之后,于2018年4月入读PSB学院大专课程。谈及当时选择新加坡PSB学院的原因,朱畅同学说和父母也做了多方考量,新加坡人文环境好、安全,特别适合女孩子。她的理想也一直是进入澳洲就读,PSB学院提供的平台刚好有更大机会进入澳洲的学校,不失为当时的最佳选择。
回忆在PSB就读的时光,朱畅同学感觉自己收获满满。正是因为在PSB严格的教学环境下,她在读Diploma课程期间取得了良好的成绩,并最终获得了梦想院校西澳大学的录取。
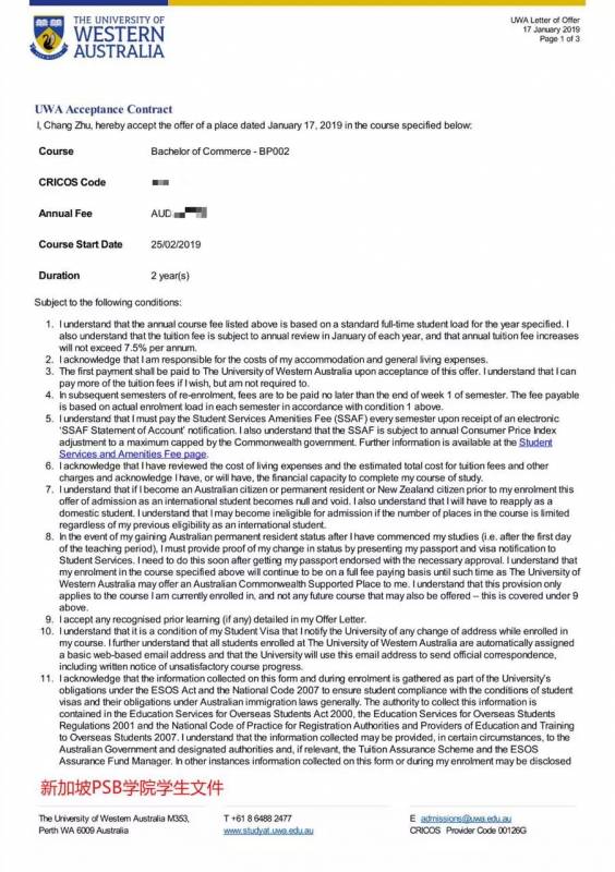
朱畅同学被录取的课程是西澳大学商务学士-会计与财务专业,并且在2019年2月正式开始在西澳大学的学习。

西澳大学录取通知书
PSB学院转西澳大学-入学条件
学历要求:
完成工商管理大专
or
完成工商管理大专(会计与金融)
语言要求:
GCE-O成绩英语获得C级以上
雅思6.5分(单项成绩不低于6分)
备注:
可直接入读西澳大学商学院本科第二年
可选专业有会计、商法、经济学、金融、人力资源、工商管理、市场营销。

学院&课程介绍
1
学院介绍
新加坡PSB学院是新加坡最大的独立教育与培训机构之一,经新加坡教育部批准、受到中国驻新加坡大使馆认证的一所多功能、多学科的学院。于2003年获得新加坡政府素质级教育机构称号(SQC)。

同时PSB学院和美国、英国与澳大利亚的顶尖大学建立了国际合作关系,从而确保每一位踏进PSB学院大门的学生都能享受到世界级品质的教育。

PSB学院拥有400多位全、兼职教职人员,每年给30,000多名学生提供各类课程。学生在PSB可以享受设备齐全、多国文化交融的校园生活以及我们兢兢业业的学生服务团队提供的各类服务,包括挑战的露营活动、实习和海外交流计划等。

PSB有一支强大的师资队伍,师生比例控制在1:45以内,该学院定位自己为“亚洲未来学院”,为培养出有社会责任感和职场竞争力的学生持续努力。
2
课程介绍
PSB学院提供从基础语言、预备课程、本科到研究生的不同课程。
PSB学院提供涵盖商科、工程与技术、生命与物理学院的一系列大专预备课程供学生选择,其中商科和工程是在中国留学生中比较热门的专业。
1
商科

工商管理大专
工商管理大专(会计与金融)
工商管理大专(数字营销)
工商管理大专(供应链管理)
酒店与旅游管理大专
媒体传播大专
2
工程与技术

电子工程技术大专
机械工程技术大专
工程工业技术大专
信息技术大专
网络防御与司法对策大专
3
生命与物理

体育与运动科学大专
生命科学基础大专
合作大学
PSB学院与澳大利亚和英国的6所世界顶级大学合作,在大专课程后为学生继续提供本科与研究生课程深造的选择,今天主要为大家介绍的就是这所在QS排名中表现优异的伍伦贡大学。
在新加坡完成课程并通过所有科目的学生将被授予学位证书,学生所获得的学位证书由伍伦贡大学本校颁发,与本校毕业生所获文凭完全一致,受中国教育部承认!
1
University of Wollongong 伍伦贡大学


澳洲校龄低于50年的大学中排名第2
世界大学排名第 212位 (QS世界大学排名2020)
全球五星级大学 (QS星级评选2019)
文凭受中国教育部认证!
1
本科课程
商学士(金融)
商学士(市场营销与管理)
商学士(供应链管理)
为什么选择PSB

1
学生支持与关怀
专业的学术团队在课后随时为需要的学生提供咨询服务,为学生制定个性化的成长计划和学业规划指导,为将来的学术学习做准备。

为准备学生面临将来的职场考验,学校会定期举办讲习班和培训,来提高目前职场上被高度重视的学习能力,进一步发展专业技能。
2
硬件&软件设施齐备

PSB学院提供在线学习平台和教学设施,校园内全覆蓋Wi-Fi,并配备复印打印设备。学习中心可以收集各种信息资源并提供安静舒适的学习室。在线图书馆提供给学生各个合作大学的参考文献和期刊馆藏资源。
3
就业服务 & 行业参与
在上文中提到PSB学院定位自己为“亚洲未来学院”,持续地为培养出有社会责任感和职场竞争力的学生做努力。

PSB学院与行业合作伙伴建立了长期的合作关系,为学生提供与行业从业者交流学习的机会,在毕业前获得实际经验。PSB学院不仅有自己的就业研讨会,专门为学生提供一对一的课程顾问和职业规划建议,还定期举办行业访问和招聘会,给学生更多接触就业的机会。

PSB学院的行业合作伙伴包括新加坡著名的公司Marina Bay Sands;NTUC Income;OCBC Bank;Starhub Ltd.等等。
评论