妈妈没穿旗袍,孩子没补习,今年考上了
编者按:一名新加坡妈妈追忆了自己的陪考经历,原文如下:
第一次知道送孩子上考场的妈妈要穿旗袍,寓意“旗开得胜”,是今年2月。
朋友J的儿子E要考AEIS,这是新加坡选拔外籍学生进入政府学校的考试。 那天是我和J在朋友家聚餐后一起打车离开,J说:“哎呀,忘了拿旗袍。”原来是E第二天就要考AEIS,朋友特意为她准备了旗袍。
打车应用程序一时改不了路线,司机拒绝回头,于是朋友叫了快递把旗袍及时送到J家。
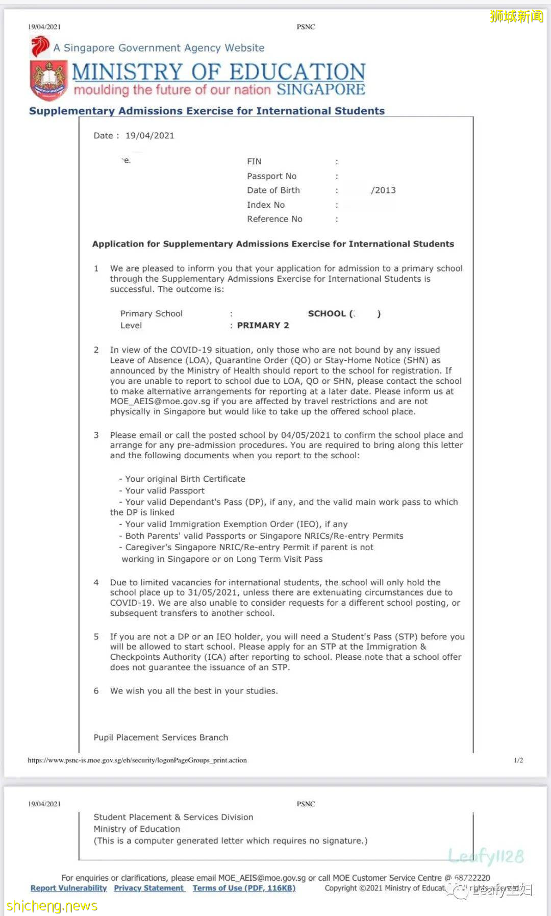
我对此笑笑表示理解,但并没说什么,结果第二天J并没有穿旗袍: “新加坡妈妈们好像不这么做,也不是过年的,我怕到时候只有我穿太奇怪,就算了。” 过了两个月,AEIS放榜,E考上了。

E的录取通知书
01 还记得初识J和E,是在2018年的圣诞节前夕,我去幼儿园接芝麻放学,看到有个漂亮妈妈提着一大袋礼物,笑靥如花,见人就让儿子递上一份:“圣诞快乐!”
芝麻很高兴地接过礼物:谢谢E! 我:原来这就是E,你说的新同学,弹琴比你好的那位男生。 E:芝麻这么夸我吗? J:原来你就是芝麻,E说你是他的小翻译,一直帮他学英文。 那时候他俩才来新加坡几个月,J不好意思地说:“E英文不好,我英文也不好, 还好在幼儿园有芝麻帮他。”
当时J就赶紧给E报了一周一次的英文补习班,希望他能早日融入新加坡的学习环境。 孩子的适应能力是很强的,“大概半年后,E就没再上英文课外班了。”J说。
02 2020年1月,E和芝麻一样,都上了小学,但因为身份原因,他上的不是政府小学。 J很快就和我说:“小学和幼儿园太不一样了!E懵了,我也懵了。”
原来,幼儿园毕竟是中英文一半一半的环境,一般总有会说华文的老师在,上课环境也比较闲散轻松。 可小学就开始正规一门一门上课了,除了华文课,别的科目都是用英文教学,数学老师找J约谈,说E上课都在放空。
J也遇到了困难,和学校的交流等等也需要英文,收到的通知小到课程表,除了用翻译软件,还不时让我翻译确认一下。 “他第一次考英文,100分满分的卷子才考了11分啊。我的目标,就是他上课能听懂!” 于是J决定要和E一起扩大英文单词量。
她去书店问店员一年级的畅销练习是哪些;平时和别的妈妈聊天,她也留意听起来有效的书和方法。
03 一年级时E考了一次AEIS,没过。 但年底的时候,E不仅考了全班前五名,还得了进步奖。 我也开心:“这么明显的进步,二年级应该考AEIS有把握了;就算没考过,学习也已经上正轨了。” J笑:“我很高兴的是,这一年把E的学习习惯培养起来了。” 二年级第一次AEIS考试,2月考,4月出结果。 E不仅考过了,还分配到了一所不错的学校,就在家附近。
“没想到我这个学渣,也能陪孩子学习,考过了这么重要的考试。” J笑,然后认真地说:“AEIS放榜后,有好多文章看到最后都是在给补习班打的,我看了就想,你的公众号没有,E也没有上补习班,我愿意分享自己的经验,也许并不适合所有人,但只要有人觉得有帮助,就好了。”
一式两本与可擦笔 E的课外练习,J都是一买就买两本的,一本写自己名字,一本写E的名字。 “我要先自己查字典和自学呀,不然当着他的面一起学,太浪费他的时间了。”
于是J常常在E睡着后,大晚上的在“备课”:“我以前自己上学时都没这么用功。”

左边是J的书,右边是E的书,努力提升单词量
考前一个月,J每天“备课”5页的单词单选题,等E放学后回来讲给他听。
J还买了可擦的圆珠笔,有时候就把整页的答案包括自己标上去的注释都擦掉,让孩子重新做。
我心想铅笔橡皮就可以呀,翻开J的书一看,她是用不同颜色的圆珠笔给孩子做标注呢,譬如黑笔是生词,红笔是动词原形。

J真是从基础一起学起, 翻看能发现慢慢地,她标注的生词在变少 传统有效的背文章 除了单词和习题,J买了一本英文作文书,每天让E背文章。
“我们小时候不都背课文嘛,背多了也就会写了。” J拿出书,每篇文章她都标注了日期和背诵情况:
“小一的时候7月开始背,每天默写一篇,突击9月AEIS考试,考后就改为两天一篇,到今年考前,已经背了80篇。”

考过了AEIS,E也还保持学习和背诵作文的习惯 除了作文书上的文章,J也让E多读平时阅读理解题的文章,睡前熟读一遍又一遍:“至少也有45篇。”
J觉得这个办法很有用:“我发现E现在很喜欢做看图写话的题,英文啊,一下子就能写那么多,我觉得好厉害呀。”
一周一休的时间表
孩子在学校的时候,J会和我们喝喝早茶聊聊天,但孩子中午放学前肯定回家。
因为她要带着E,跟着自己制定的时间表走:

J口述,我制表
只有每周六不用按照这个时间表,J经常带着E,约上他的小伙伴一起快乐一整天。 而疫情严重时,就算不出门,周六也是E完全不学习的“纯玩日”。
“我反而觉得因为疫情,E可以更安心地呆在家里好好学习。”J总是很乐观和感恩。

现在放假,E还是每天一页计算题 完成了妈妈布置的学习任务后就能玩 J的经验,仅供参考。
虽说芝麻不需要考AEIS,但兼听则明。
比如熟读甚至背诵好文章,这是无论哪门语言学习都可行的一个方法。
为了备考,J带着E在卧室关门学习。
卧室的床占了大部分空间,但是不影响他俩每天几个小时的呆在里面。
学习时,周围就不要摆着可能分散注意力的东西,这点也是我认可的专注度。

E的书桌上唯一的小恐龙也是橡皮而非玩具

J就坐在床台阶上陪着E学习 而我真正喜欢的是:想清楚要什么,有了明确的目标,就为之坚持和努力这件事。
所以难得我对这位“鸡娃”的妈妈是持肯定态度的。
J没有在新加坡上成人英文课,但从刚来时一句英文都不敢开口说,到现在已经能自己带着孩子去新学校报到啦!
这种共同进步的感觉,让人看着都觉得好棒。
一起加油、继续进步!
幕后: 细心的读者可能会发现,J和E早在我之前的文章里就已出现。

5月16日我发文后和J的对话:今天终于把这篇备考文章发了。 好容易考上了政府小学,去上学没几天,该校就爆出有学生确诊新冠,于是J就带着E被隔离了。
(文:菱叶儿 文章原载于微信公众号Leafy主妇)
评论