一个新加坡普通人是如何养老的
人的一生辉煌时刻通常在年轻时候,而到了老年,老有所依老有所养就格外重要了。新加坡人的养老是很多人都在谈论的问题。大家在担心自己工作到老却没有足够的财力去应付晚年的花费,因为新加坡政府没有提供政府养老金,而是依靠个人的积累。这些积累可能一部分是自己自发的养老储蓄投资,也可以是政府强制的公积金制度下的特殊户口(SPECIAL ACCOUNT)的积累。

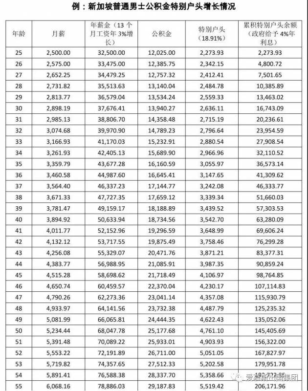
为了弄清楚新加坡人是否存在养老问题这个问题,我们设想了一个普通新加坡男士在现行公积金制度下的情景。大专或者本科毕业,7岁入学,当兵二年,25岁完成教育,开始工作。起薪为2500元新元,年薪3%的增长。每月公积金为37%的月薪,其中18.91%会进入特别户头,用于养老的储蓄,政府给予4%的年利率。以下这个表格体现在他从25岁到55岁特别户头积累的情况。
固定布局
工具条上设置固定宽高
背景可以设置被包含
可以完美对齐背景图和文字
以及制作自己的模板

从上表可以看出,如果他只是这样平稳地工作,没有升职,只是年3%的加薪,他的月薪将从25岁的2500元增长到55岁的6000出头。这里只是做了简化和保守的估计,没有考虑升职或者跳槽带来的大副度加薪,也没有考虑失业的状况(考虑到新加坡失业率很低,这个情况可以是比较短暂)。同时政府在一些情况下也会给一些额外的利率的福利,这里为了简化也都忽略不计了。在这样的情况下,按照现有的公积金制度,他到55岁,特别户头的余额为20万新币出头。
那么这笔钱可以给他带来什么呢?他可以把这笔钱用来进入新加坡政府的公积金终身入息计划(CPF LIFE),这个计划可以让他在65岁正式退休之后拿到大概每月1600块左右的收入直至生命的最后一刻。

在拥有住房和现行的还不错的医疗保障下,且配偶也拥有相应的入息收入,二个人总共月息3200新元,其实可以拥有基本物质水平的退休生活。当然,现实情况是,他应该还有其他的一些储备,如公积金普通户口的剩余,因为向建屋局直接购买组屋,他的条件可以让他得到好几万的政府补助,就算是他在结婚时购买了一套普通价值的新五房式组屋,他的公积金普通户口也会有不少的结余,可以补贴养老。另外,如果平时再有一些其他方面的合理的养老储备和规划,也会提升他们的养老生活水平。
爱慕斯指出,其实,养老的质量并不限于养老金的多少,能够在空气质量好、社会待遇不错的地方和家人一起安逸的颐养天年,可能就是人们追求的吧。
如果您有任何关于新加坡移民、教育、医疗、资产配置的问题,欢迎联系爱慕斯!
固定布局
工具条上设置固定宽高
背景可以设置被包含
可以完美对齐背景图和文字
以及制作自己的模板
声明
本文部分内容转载于其他网站来源,转载并不意味着认同其观点或真实性。如其他媒体、网站或个人转载使用,请与著作权人联系,并自负法律责任。如有不妥之处,敬请指出。
文章内容仅供参考,版权归原作者所有,感谢您的分享。新知家教育诚意推荐。如有侵权请及时联系我们删除。
评论