新加坡中小学初院并校成风?权威留学专家惊爆真相

昨天,新加坡教育部宣布的一则消息,震惊全国~2019年,本地将会有14所小学合并为7所、6所中学合并为3所,连初级学院也不能幸免,首次会有8所初院合并为4所。
算算从2015年到今年,已有3对小学和11对中学合并。2018 年,也将有4对中学合并。近几年,新加坡学校这样大刀阔斧地并并并,不少家长都蒙圈了,着急问新加坡眼,这到底是几个意思~
是新加坡政府穷到要收紧教育资源,缩减开支了吗?是不是像传言那样,新加坡政府学校将不再招收外国学生?我还想送孩子到新加坡读书呢,这不断了我的念想吗?
新加坡眼据此咨询了专门提供留学服务的望博集团负责人Jerry,逐一为大家破除迷思。
首先,新加坡政府的这个做法,不是穷,而是一贯的务实!
新加坡的人口生育率,在过年十年里持续低迷。除了在2007年(生肖龙年,华人比较愿意生宝宝的年份)和2015年(新加坡建国50周年的金禧年),宝宝生育率比较亮眼以外,其它年份基本都是逐年走低。
有数据显示,本地的生育率下降导致了新生人数的逐年减少,又人口逐渐向新的居民区扩散,老区对于学额的需求已大不如从前,新加坡教育部就从2015年起,陆续并掉了一些中小学,以集中充分利用有限且比较廉价的公立学校资源。
其次,新加坡政府学校将不再招收外国学生的传言,完全不可信!有图有真相~

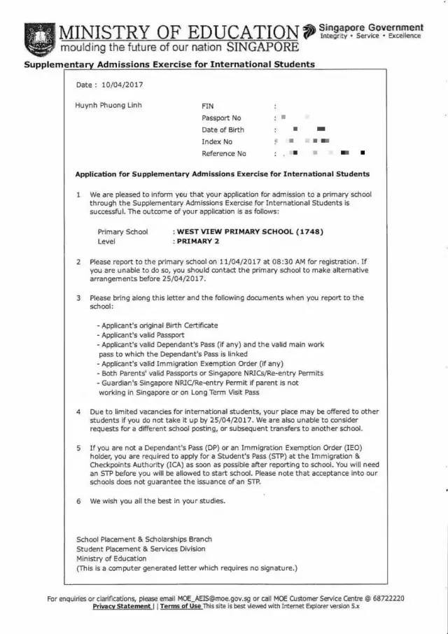
这是一名外国学生在4月10日收到的通知书
Jerry解释,不是说政府学校不招收外国学生,而是说每年参加AEIS考试(编者注:入读本地政府中小学的必过门槛)的学生越来越多,相对考过的难度就会大些。这样一来,有些留学中介就会推荐家长们将孩子送进教学质量同样有口皆碑的国际学校。过程中可能过度渲染了入读政府学校的难度,终于以讹传讹,变成了“政府学校不再招收外国学生”。
显然,新加坡政府的这一举措,用意很明显:为确保一贯的教学质量,情愿让政府中小学合并,也不降低外国学生的入学门槛。
那让想到新加坡读书的外国孩子们何去何从?
鼓励外国学生入读国际学校,应该是个大趋势!

▲加拿大国际学校
一来有利于提振经济,二来也不用担心民怨,又说外国人抢了本国人的资源。看现在新加坡的国际学校越建越多,办学规模也逐渐加大,显然,新加坡政府在力推国际学校产业。
事实上,近年也有越来越多“不差钱”的家长或者优质家庭的孩子,认准了留学目标—-就上国际学校!
新加坡的国际学校百花齐放,选择不少。想了解更多的新加坡国际学校情况,可以看这篇:国际学校几大方阵 。除了早已声名远播的UWC(世界联合学院)、美国、加拿大、澳大利亚国际学校之外,近几年新加坡也陆续建了一些新的国际学校,比方说在实龙岗附近的斯坦福美国学校……,据说教学质量都有保证。
还有不少中国家长,心疼孩子深受“填鸭式”教育束缚,为救他们彻底脱离苦海,一早就打定了主意,要将他们送进国际学校。

▲语文老师看过来,上海小学生的自测题,你会做吗?
另外,如果已经规划好了孩子的学习路径,长大后是要去欧美国家读书的,也不想打破头进政府学校了,虽然政府学校的学习负担,看起来比在中国时轻些,事实上补习风气和中国一样盛,有数据显示:新加坡9成孩子上补习班,年花11亿新币。
相比国际学校提供的教育,的确更崇尚素质培育。孩子从小在宽松的学习氛围里,多锻炼动手能力、培育解决问题的思维和社交技巧……,更容易和国际接轨。
所以~近年来,新加坡的国际学校招生情况非常火爆。不少学校也选取了信得过的招生中介,为他们提供服务。
像Jerry所在望博集团,就是包括加拿大国际学校在内,很多国际学校的合作伙伴。

▲实力的证明!望博各大合作院校
望博集团最拿手就是接待来自中国的中小学生。以他们的经验看:小学生一般在插班入读后不到一年,就能自如应对学业了;至于大一点的孩子,除了插班读中学外,辛苦读1~2年的O水准预科班,能考取理工学院,基本上以后的出路就有保障了;还有艺术类学生,会去上南洋艺术学院(NAFA)或者拉萨尔艺术学院(LASALLE College of the Arts),BCAA也很吸引中国学生的报读。
专注中小学生新加坡留学的资深服务机构,望博集团欢迎大家“骚扰”。
新加坡望博留学:
网 址:www.wangbo.com.sg
微信号:hcyjerry
SL_5152
附:新加坡历年并校名单
2015年,有6所小学并成3所:
丰嘉 + 联华尚智 + 达迈侨南 + 励福2016年,有8所中学合并成4所:
平仪 + 务乐巴特礼 + 大智法嘉 + 励进锦林 + 东林2017年,有14所中学合并成7所:
博理 + 培德达善 + 红山柏盛 + 务立德贤 + 德景先驱 + 文礼实乞纳 + 云海士林 + 马西岭2018年,有8所中学合并成4所:
务能中学+达迈中学碧苑中学+培雅中学崇文中学+永康中学青景中学+洛阳中学2019年,是并校的大年
小学组(7对)
东景+俊源博理+明智大侨+静山达迈+东岸云海+白沙康岭+洛阳四德+柏盛中学组(3对)
树群 + 裕华东源 + 东景丰嘉 + 裕廊景初院组(4对)
义顺 + 星烁裕廊 + 先驱安德逊 + 实龙岗淡滨尼 + 美廉
评论