所有WP自查!缺了这个甭想入境新加坡

编者按:新加坡眼的不少网友,是持WP在新加坡工作的中国人。不久前我们接到一位WP小哥的紧急求助,因为准备文件不足,被硬生生挡在了机场海关。我们将这件事整理出来,目的是为提醒各位自查,希望大家的工作之路都一帆风顺。

简单说就是要来新加坡工作,没让过海关,貌似因为少了一个保单,却说不清楚是什么。心急之下向新加坡眼求助,请大家帮忙看一下,究竟少了什么东西,又怎样才能尽快补足材料,好及时飞到新加坡来。
以下是小哥的现有保单~

住院险

意外险


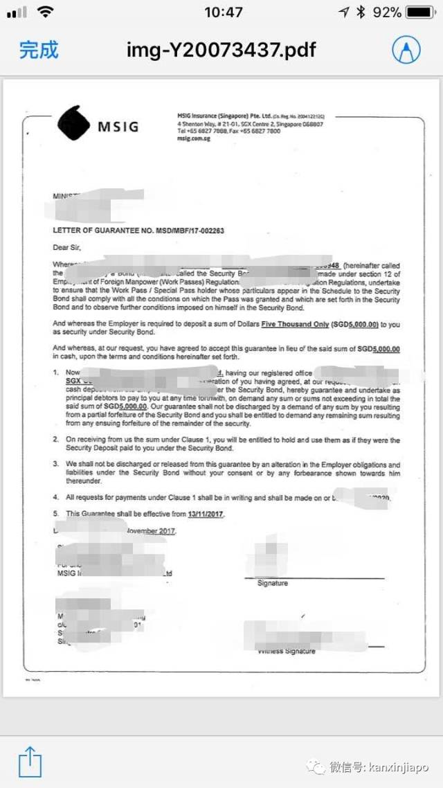
保证信
网友积极提出意见:
張先玍_Gemini:
少 security bond letter ,鉴定完毕 那封信可以是网站截图 带着金额5000左右的截图 打印出来 就好了
Missnanaa:
如果是WP的话,是会有一个security bond的,打印出来之后公司要签字盖章的
Missnanaa:
要在劳工部网上打印出那个保单的。
Chenxwangela:
如果是wp就少了一个security bond. 这个要想保险公司买。担保5000块的那个。向保险公司买完,次日可在mom网站下载。需要老板签名。估计海关需要是这个。
十里长亭一丈红尘:
是WP吗?那要公司买好后去mom网站下载发给你
感谢见多识广网友鉴定,这位小哥材料中缺少的是security bond letter。针对这位小哥的情况,新加坡眼咨询了专业机构,卓博人力(QQ:2097522087)。

(对话截图)
可见WP出国工作,要准备的材料不少,建议大家事先一一确认,以免遗漏耽误出行。要点如下:
1、这位小哥提供的WICA(工伤保险),是来做工的都必须买的。
2、Security Bond,是新加坡人力部(MOM)指定要求WP购买的保险。
3、WP入境前必须购买Security Bond,出境时要出示此保单,才可以获准通行。
4、Security Bond购买后,要从人力部系统下载,有两页内容。

(Security Bond 第一页)

(Security Bond 第二页)
除此之外,新加坡政府对于WP的住宿及其它方面,也有诸多限制。例如,不可以租用整套HDB(组屋)居住。还有~从明年下半年起,初次到新加坡工作的非马来西亚籍客工像来自中国、印度、孟加拉国的,都必须参加新加坡人力部开办的“适应本地生活课程”,以更好融入新的工作环境。
希望来新加坡工作的网友们,在出行前都尽量清晰了解以上内容,并祝一切顺利。
评论