后台问爆:宝宝在新加坡出生要办什么证?最全指南奉上
作者 | Freda
此笔记适用于在新加坡出生的中国籍宝宝(宝爸宝妈均为中国国籍)。根据新加坡公民条例,唯有孩子的父母亲至少一方是新加坡公民,孩子在新加坡出生时即为新加坡公民。
我和娃爹都是PR,所以唯有在孩子法定年龄后,可选择保留永久居民身份或申请成为新加坡公民,或者有在考虑我们其中一人跟娃一起申请入籍,这是后话了。
废话不多说
宝宝出生后要抓紧时间办的有:
1. 出生证 Birth registration
宝宝在出生当天医院会提供孩子的出生纸,没有孩子的名字,但会记录孩子的身体信息和父母亲的信息。凭这张出生纸就可以办理孩子的出生证。

在各大医院都有ICA的服务,可以选择在医院或者去ICA办理出生证业务,区别只是在医院办会贵一点。我是在NUH生产,住院期间就到Patient Service Centre当场办理就可以拿到出生证。如果出生超过14天就只能去ICA办理。
须带证件:
· 宝宝的出生纸
· 宝爸宝妈的IC/护照
· 父母的结婚证原件
从宝宝出生起开始算,在42天之内要把护照办妥
2. 护照 Passport
办理护照的时效约10个工作日,我和娃爹本着赶早不赶晚的原则,在拿到出生证的当天,就安排给娃们拍证件照和预约大使馆办理时间(我办理的时间是21年2月,5月以后使用中国领事App线上申领,无需前往办证地点了)。


配图就是拍照过程,大汗淋漓的几个小时,什么招数都用了,拍到的全是怪表情,娃爹甚至都反穿白衬衫试图定住宝宝,最后累趴了。后来就想去他的白背景吧,直接托住头录视频,截取睁眼正视的一帧,给淘宝抠图换衣服换背景后成功预约上了时间。
疫情期间,自2021年5月起中国领事App上线后,新生儿的证件办理可申请“绿色通道”的方式提前审理。
从填写个人信息申请表到上传JPG或PNG格式的申请材料,在线视频见面,支付费用等全程都在App上完成。疫情期间,只能使用新加坡邮政局SmartPac Mini邮寄方式领取护照。
所需材料:
· 宝宝近照,背景为白色,穿深色衣服
· 出生证
· 父母的护照、居留证等



根据步骤填妥新生儿和父母的相关认证信息,上传照片及所需文件后在线支付$24系统将会生成订单号。 在三天之内将打印或者手写的订单号、申请人姓名、联络方式及付款信息和收件人的姓名,地址都放进SmartPac Mini的信封中寄到大使馆150 Tanglin Road,Singapore 247969即可等待护照寄回。 有网友担心邮寄时间会不会太久,放心,时效依然是10个工作日左右。

3. 长期居留准证&永久居留证 LTVP,PR
护照拿到后要马不停蹄地同时申请LTVP和PR,因为PR的等待期3-6个月甚至更久。 宝宝出生后有42天的居留期,在这个期间拿到护照和LTVP是非常赶的,可在期限最后提前七天给宝宝申请延期special pass三个月,期间我LTVP申请的材料缺失补交了材料时间也足够,通常LTVP会在六周内批下来。
(1) 申请LTVP流程
这篇笔记以父母双PR或其中一方是PR为例所需的材料:
· 宝宝的护照和出入境卡
· 出生证明
· 近期护照照片
担保人(PR持有者)的:
· IC
· 最高学历
· 结婚证(如离婚则需离婚证)
· 三年缴税单
· 过去一年的CPF缴纳记录
· 工作信(工作开始日期、工资、职位等;如是自雇人士还需公司的注册证书和12个月的盈亏记录)
材料准备齐全,就可以前往ICA网站选择身份登陆SingPass,开始申请LTVP,按照步骤填妥信息提交申请。我们家宝宝是给了一年的长期居留准证,如果到期PR还未被批就要延期签证。
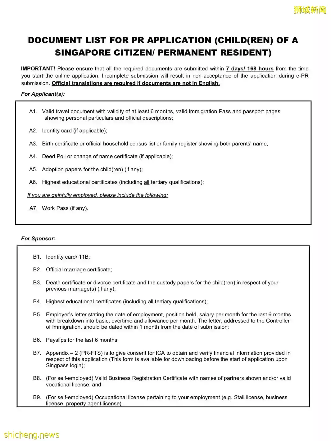
(2) 申请PR流程

所需文件资料多,根据自身情况,可在ICA网站下载并仔细阅读对应的Explanatory Notes并核对文件末的所需材料清单。 一旦开始提交在线申请需在7天/168小时内上传所需的所有文件。
常见问题
如有误请指出,欢迎大家探讨。
1. 中国籍宝宝如何回国办户口?
疫情当下,不要说新生儿了,大人们都两三年没能回家的比比皆是。
我们也为落户事宜咨询过国内当地办事处,建议6岁之前回国办理,超过了也没事,可能审核上麻烦一点。据网上有看到一些说法是一岁之前要办理,所以这点有待考证。不同地区咨询当地的派出所。
所需的文件有宝宝的英文出生证明原件,复印件和翻译件并去新加坡外交部做公证,新加坡官员盖章就表示复印件经过官方认证有效。
2. 宝宝爸爸或妈妈其中一人是中国国籍,另一人是新加坡籍,在新加坡出生的宝宝能申请双国籍吗?
首先两国都是不承认双国籍一说的。父母中有一方是新加坡籍,那么宝宝出生自动就成为新加坡人。
3. 宝宝爸爸或妈妈其中一人是中国国籍,另一人是新加坡籍,在中国出生的宝宝应该怎么办理?
评论区有网友以她的经验解答说:“先给孩子上户口,办护照再来新加坡。结婚证及孩子的出生证明翻译公证,然后给孩子申请新加坡国籍,21岁再次重新选择国籍。” 不过个人认为,这只能是默默拥有了两本护照,向上条所说,中国是不承认双国籍的,成为新加坡人的条件也是要放弃原有户籍。那么这算双国籍吗?
4. 疫情期间,宝宝需要去大使馆或者ICA等办理证件吗?
我个人经验从去年至今,宝宝和妈妈都没有亲自去办理任何证件,所有程序都在网上提交完成。有去提交材料也是宝爸带上妈妈的证件原件去即可。
评论