超详细!从中国入境新加坡前的检查清单来了
编者按:网友xy/sun分享了非新加坡公民和PR,如何进入新加坡的详细流程。供大家进行参考。
网友原文如下:
以下只针对持签证的,不针对新加坡公民和pr。公民和pr不需要提前申请ATP。不用买保险。落地检测后,不用去酒店,而是直接可以回家。
第一步就是要先申请ATP(航空入境许可)。不需要先买机票,需要知道你要哪天飞,申请时要填入境日期。如果批准了,允许入境日期段,是所填日期再往后加7天。
基本就是
1. 申请ATP ,批准信拿到后(等两到三天),买机票
2. 买保险
3.没有新加坡本地电话卡的,要么晚上买好,落地去取,要么直接落地买。落地新加坡有装好app。
4.落地新加坡机场,立即需要核酸检测。要么网上提前缴好费,要么落地缴。
5.预订一晚酒店(机场直接去酒店,等待核酸报告)
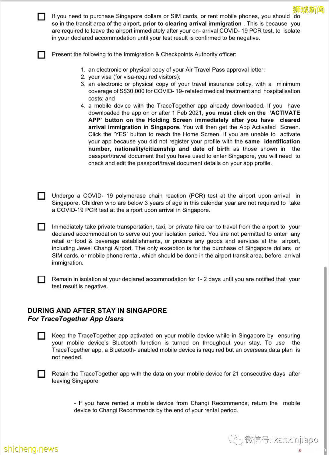
6.落地第二天核酸报告没问题,回家。 以下贴的出发前的检查清单,供参考




评论